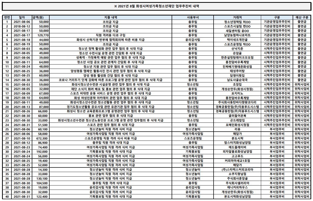
제목 업무추진비 2021년 8월 업무추진비 내역 작성일 2021년 9월 23일 10시 57분 조회수 541 첨부 파일 아이콘2021년 8월 업무추진비 내역.pdf (96.62KB)다운로드 아이콘 파일 아이콘2021년 8월 업무추진비 내역.png (529.08KB)다운로드 아이콘 목록보기