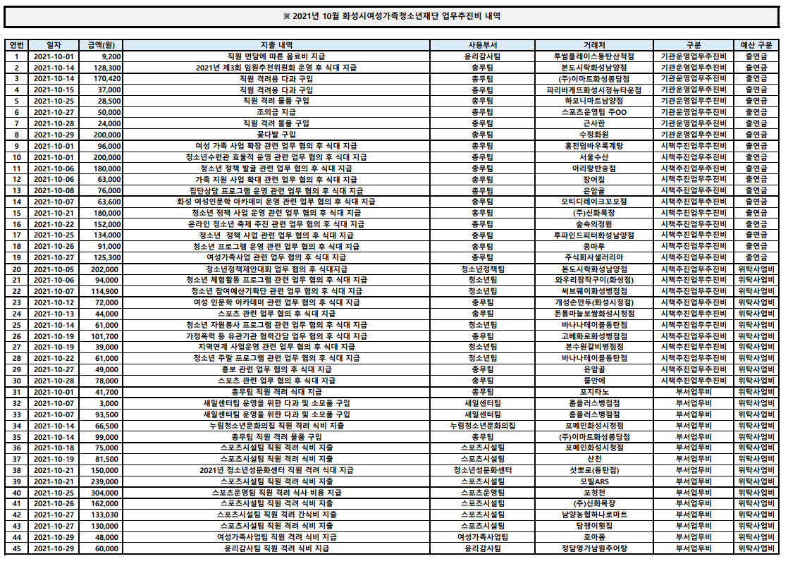
제목 업무추진비 2021년 10월 업무추진비 내역 작성일 2021년 11월 23일 10시 3분 조회수 410 첨부 파일 아이콘2021년 10월 업무추진비 내역.pdf (103.67KB)다운로드 아이콘 파일 아이콘2021년 10월 업무추진비 내역.png (506.08KB)다운로드 아이콘 목록보기